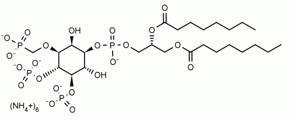
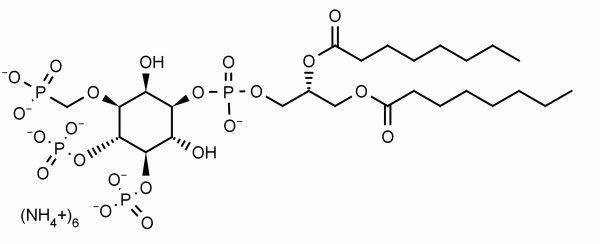
3C-PtdIns(3,4,5)P3, diC8

(No reviews yet) Write a Review
SKU:
P-3C908
Availability:
Y
418$
Frequently bought together:

Description

SKU:
P-3C908
Additional Names:
5)P3 3-methylenephosphonate, pi345p3, PtdIns(3
Extra Details:
PtdIns(3,4,5)P3 3-methylenephosphonate, diC8 (3C-PtdIns(3,4,5)P3, diC8) is a synthetic PI(3,4,5)P3 analog in which the 3-phosphate bond has been rendered metabolically stable as a methylenephosphonate. P-3C908 increases sodium transport across monolayers of cells A6 through activation of GLUT4.

Storage

-20 °C

Featured in Publications

J. Am. Chem. Soc., 2006

Documents

Technical Data Sheet
Shipping Conditions:
Blue Ice
Storage Conditions:
Please refer to datasheet
Supplier:
Echelon Biosciences
View AllClose